입시
모아보기
SUMMA GENUS
게시판목록
채널변경
회원가입
로그인
게시글 모아보기
GENUS
공지사항
자유
잡담
중고등
N수
학습 Q&A
컨텐츠
학습칼럼
학습자료
게시글 모아보기
GENUS
공지사항
자유
잡담
중고등
N수
학습 Q&A
컨텐츠
학습칼럼
학습자료
2023.04.22 22:31
514
0
체리
체리
쪽지
프로필
팔로우
[자유]학습 Q&A
한완수 수12 하 282p G10
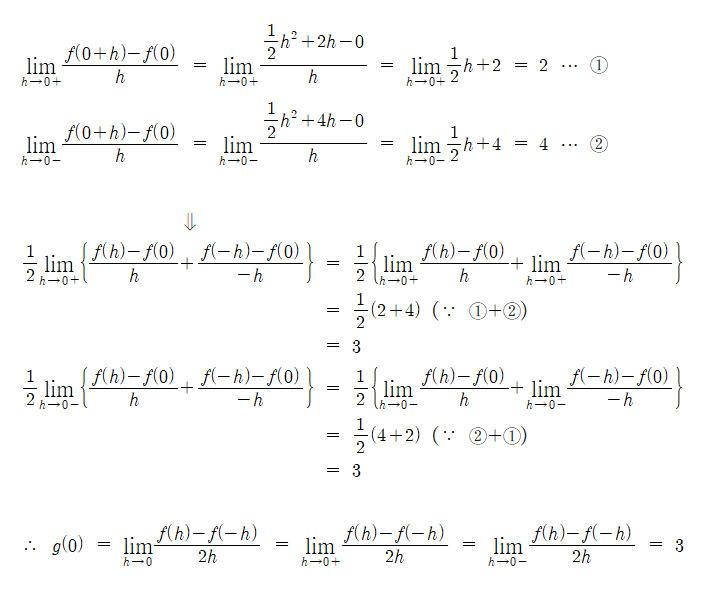
해설 74p에서 g(0)값은 G08과 구하는 과정이 동일하다고 하는데 이게 맞나요?
신고하기
헤링 님의 댓글을 신고하시겠습니까?
신고할 시 해당 댓글이 더이상 보이지 않습니다.
헤링
2023.04.24 14:30
헤링
쪽지
프로필
팔로우
헤링 차단하기
차단시, 더 이상 해당 유저의 컨텐츠를 볼 수 없습니다.
차단하시겠습니까?
0
답글
안녕하세요. 이해원 연구소 코시입니다.
방법은 맞으나
1) f'(0+) 등의 표현은 엄밀하지 않아 [lim x⟶0] f'(x) 등의 표현으로 바꾸는 게 좋아보입니다.
2) 문제에서 g(0)을 구할 때 g(x)의 극한을 구하지 않습니다. (1/2){g(0+)+g(0-)} 표현은 없어야 합니다.
g(0)을 구하는 풀이도 같이 첨부하니 공부에 참고하시길 바랍니다.
*답변 내용에서 이해가 되지 않는 것이 있다면 새로운 게시글로 추가 질문해 주세요.
답글 남기기
로그인이 필요합니다.
로그인
신고하기
신고 중...
댓글 남기기
로그인이 필요합니다.
로그인
신고할 시 해당 댓글이 더이상 보이지 않습니다.